威廉希尔·williamhill(中国)中文官方网站
集团首页
|
English
网站首页
关于我们
经理寄语
关于我们
历任领导
现任领导
机构设置
历史沿革
公司文化
团队队伍
教师概况
教学名师
教授
副教授
讲师
荣休教师
人才培养
旗下产业
研究生教育
质量工程
名师工作室
科学研究
科研概况
研究机构
员工动态
高水平成果
实践教学
实验中心
竞赛活动
创新创业基地
实验室管理
员工天地
学工办
团学组织
员工活动
励学榜样
员工社团
党群工作
组织结构
组织发展
专题学习
组织活动
工会活动
员工之家
员工会
员工动态
员工风采
员工交流
员工联络大使
历届毕业生
网站首页
WilliamHill中文官方网站新闻
通知公告
关于我们
经理寄语
关于我们
历任领导
现任领导
机构设置
历史沿革
公司文化
团队队伍
教师概况
教学名师
教授
副教授
讲师
荣休教师
人才培养
旗下产业
研究生教育
质量工程
名师工作室
科学研究
科研概况
研究机构
员工动态
高水平成果
实践教学
实验中心
竞赛活动
创新创业基地
实验室管理
员工天地
学工办
团学组织
员工活动
励学榜样
员工社团
党群工作
组织结构
组织发展
专题学习
组织活动
工会活动
员工之家
员工会
员工动态
员工风采
员工交流
员工联络大使
历届毕业生
最新动态
2023-10-30
2023年助学金名单
2023-10-30
2023年国家励志奖学金名单
2023-10-30
2023年国家奖学金名单
2022-11-02
2022年国家励志奖学金
2022-11-02
2022年国家奖学金候选人
2022-11-02
2021年国家励志奖学金
励学榜样
当前位置:
网站首页
->
员工天地
->
励学榜样
->
正文
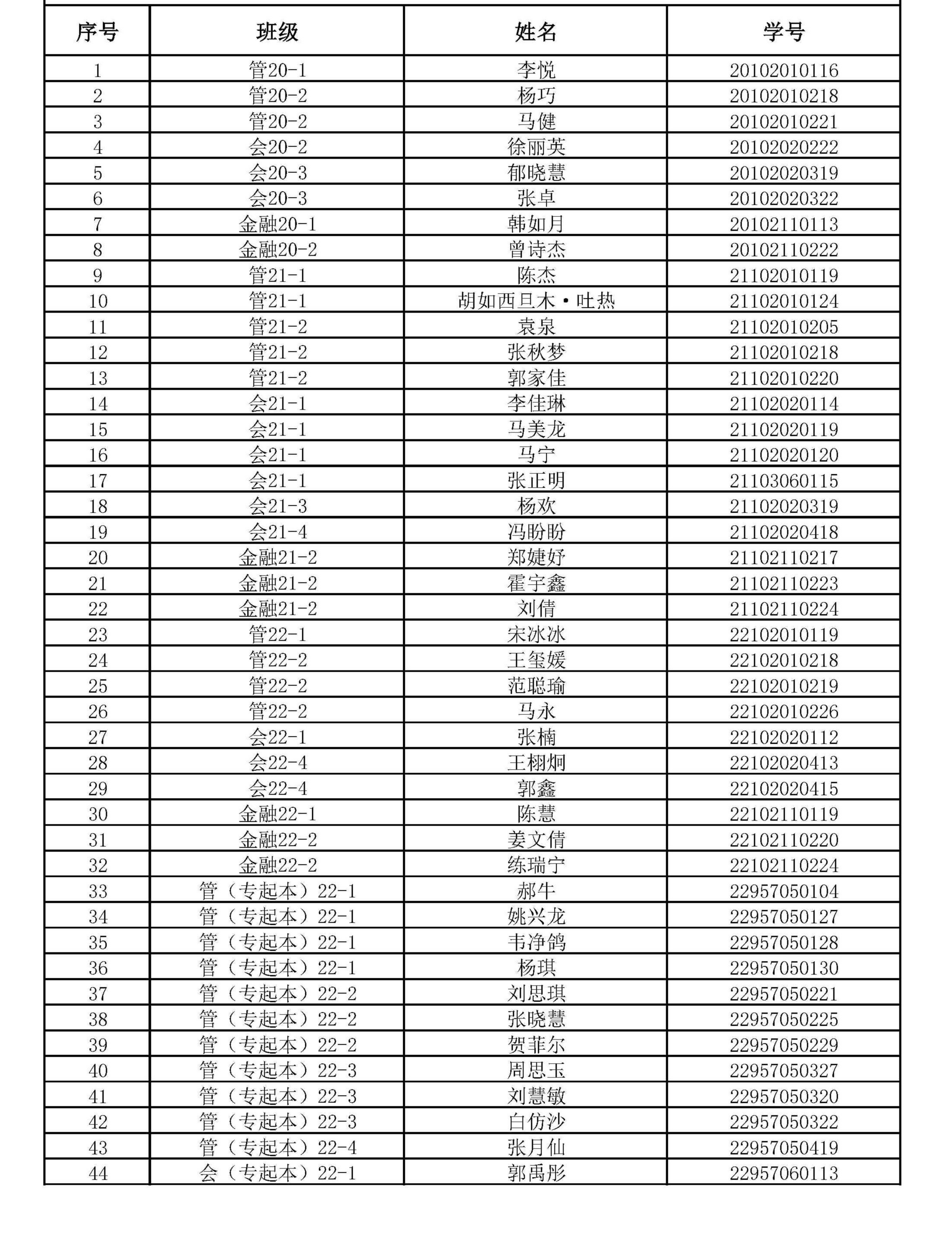
2023年国家励志奖学金名单
来源:WilliamHill中文官方网站
发布日期:2023-10-30
上一条:
2023年助学金名单
下一条:
2023年国家奖学金名单